
inter-API FAST Services
Introduction
It is the documentation that includes the services where money transfers take place with the FAST system.
Methods
GetFastParticipantBanks
SendFastMoneyOrder
GetFastTransactionList
RefundFastOrderTransaction
RetrieveFastDemandTransaction
How to Get Started
Step 1 - Sign Up & Register: To start building with our APIs, you'll need to sign up for account. Read our documentation on how to use the Inter-API services and secure your connection with the right electronic certificate
Step 2 - Get Subscription Key: To get your Subscription Key, you'll first need to Subscribe for a package on Products page.
Step 3 - Activate: Get your subscription key under profile menu. You can also add your applications here.
Step 4 - Test API Methods: Include your access token and the information needed for that API. From there, use the response for your application and you’re all set. Now you can start building applications with our API.
Step 5 - For Production: You 're now up and running on inter-API Portal. Submit for production When you’re finished testing, you may want to submit your app for production. If it seems like we’d be a good fit, we’ll look into it and do some testing together. Then, we’ll talk about next steps to move to production.
System General Principles
The following are the basic principles of the FAST System:
Only Turkish Lira payments are made in the system.
The system works with the credit method.
The system works with real-time one-to-one consensus.
Payments in the system are canceled if the participant's balance is insufficient.
The system provides 24x7 service.
There is a transaction amount limit for instant payments, and instant payments above this limit are canceled by the System. Transaction amount limit can take different values depending on the transaction, flow, or the value of a field in the message.
Instant Payment Flow Diagram
Fast Order Transaction Flow
GetFastParticipants
GetFastParticipiants is used as the query type in querying system participants in the query service. This section does not have a special area.
Request
{
"Header": {
"AppKey": "***",
"Channel": "API",
"ChannelSessionId": "331eb5f529c74df2b800926b5f34b874",
"ChannelRequestId": "5252012362481156055"
},
"Parameters": [
{
"CustomerNo": 64473
}
]
}Response
{
"$type": "ServiceResponseMessage",
"Data": {
"$type": "FastGatewayGetFastParticipantsMessage",
"FastGatewayFastParticipantsDetails": [
{
"$type": "FastGatewayFastParticipantsDetails",
"Id": 26,
"Code": "0134",
"Name": "Denizbank A.S.",
"ServiceStatus": 2,
"Status": true,
"StatusLastUpdateDate": "2021-01-28T18:17:39"
}
]
}
}SendFastMoneyOrder
It is the transaction used to perform end-to-end customer transactions that are desired to be made instantly and confirmation must be sent by the field participant in order to complete the payment.
“MASAK Tedbirler Yönetmeliği, elektronik transferlerde; transfer emrinin verildiği finansal kuruluştan ödemeyi gerçekleştirecek finansal kuruluşa kadar oluşan mesaj zincirinde Amire ait bilgilerin aktarılması zorunlu hale gelmiştir.“
Bu yönetmeliğe uygun olarak aşağıdaki parametrelerin doldurulması zorunlu olmuştur.
----Amir Bilgisi
string SuperVisorName :Amir Adı (140 Karakter)
string SuperVisorAccountNumber :Amir Hesap Numarası (34 Karakter)
string SuperVisorIdentityNumber :Amir Kimlik Numarası (34 Karakter)
string SuperVisorAddress :Amir Adresi (35 Karakter)
string SuperVisorCountryCity :Ülke ve Şehir (35 Karakter)
string SuperVisorBirthPlace :Amir Doğum Yeri (35Karakter)
DateTime SuperVisorBirthDate :Amir Doğum Tarihi (10 Karakter)
string SuperVisorCustomerNumber :Amir Müşteri Numarası (35Karakter)
string AuthorizedPaymentServiceProvider :Yetkili Ödeme Hizmeti Sağlayıcı
Karakter sınırı aşıldığı zaman {0} parametre adı gelecek şekilde 324325 koduyla hata dönülmektedir.
{
"$type": "ServiceResponseMessage",
"Error": {
"$type": "ServiceExceptionMessage",
"Code": 324325,
"Description": "Amir Bilgilerinde SuperVisorCountryCity Parametresinin Maximum Karakter Sınırı Geçilmiştir",
"Parameters": null,
"TransactionId": 2804727,
"ErrorId": "f41b22896b0d48f5a22b4fa4277ea0a6"
}
}
Request (Sending Money to an IBAN Number)
If money is wanted to be sent to IBAN, ReceiverAccountNumber and ReceiverCode fields must be filled.
{
"Header": {
"AppKey": "***",
"Channel": "API",
"ChannelSessionId": "331eb5f529c74df2b800926b5f34b874",
"ChannelRequestId": "5252012362481156055"
},
"Parameters": [
{
"PaymentReason": "01",
"PaymentSource": "I",
"SenderAccountNumber": "TR080013400097938943200351",
"SenderIdentityNumber": "15678901412",
"ReceiverCode": "0146",
"ReceiverAccountNumber": "TR820001001745000028685238",
"ReceiverIdentityNumber": null,
"SenderAddress": null,
"SenderName": "HATHOLDIR CTENOPOMA",
"SenderPassportNo": null,
"SenderBirthPlace": null,
"SenderBirthDate": null,
"Explanation": "test",
"Amount": 10.0,
"SourceAccount": {
"AccountSuffix": 351,
"BranchCode": 9142,
"CustomerNo": 654858,
"CurrencyCode": "TRY",
"IBANNo": "TR080013400097938943200351"
},
"ReceiverName": "İBRAHİM ORHAN",
"CustomerNo": 654858,
"CustomerAccountNumber": "654858"
}
]
}
Request (Sending Money to an KOLAS Address)
If you want to send money with information such as phone number, TCKN, e-mail; KolasAddressType and KolasAddressValue values must be filled.
KolasAddressType (T: Telephone, K: TCKN/VKN, E: E-mail)
{
"Header": {
"AppKey": "***",
"Channel": "API",
"ChannelSessionId": "331eb5f529c74df2b800926b5f34b874",
"ChannelRequestId": "5252012362481156055"
},
"Parameters": [
{
"PaymentReason": "01",
"PaymentSource": "I",
"SenderAccountNumber": "TR080013400097938943200351",
"SenderIdentityNumber": "15678901412",
"ReceiverCode": "",
"ReceiverAccountNumber": "",
"ReceiverIdentityNumber": null,
"SenderAddress": null,
"SenderName": "HATHOLDIR CTENOPOMA",
"SenderPassportNo": null,
"SenderBirthPlace": null,
"SenderBirthDate": null,
"KolasAddressType":"T",
"KolasAddressValue":"5306512288",
"Explanation": "test",
"Amount": 10.0,
"SourceAccount": {
"AccountSuffix": 351,
"BranchCode": 9142,
"CustomerNo": 654858,
"CurrencyCode": "TRY",
"IBANNo": "TR080013400097938943200351"
},
"ReceiverName": "İBRAHİM ORHAN",
"CustomerNo": 654858,
"CustomerAccountNumber": "654858"
}
]
}Response
{
"$type": "ServiceResponseMessage",
"Data": {
"$type": "FastGatewaySendOrderMessage",
"SenderCode": "0146",
"QueryCode": 637533037970844435,
"Status": "Successful",
"ErrorCode": null,
"ResultMessage": "TR080013400097938943200351 IBAN numaralı hesabınız için 637533037970844435 referans numarası ile isteğiniz başarıyla alınmıştır."
]
}
}Fast Process Status Display
GetFastTransactionList
It is the service to which the list of FAST transactions made is returned.
Request
{
"Header": {
"AppKey": "***",
"Channel": "API",
"ChannelSessionId": "331eb5f529c74df2b800926b5f34b874",
"ChannelRequestId": "5252012362481156055"
},
"Parameters": [
{
"FastTransactionId": 0,
"QueryCode": 637497809223806011,
"TransactionType": -1,
"Direction": 1,
"ParticipantCode": null,
"IntervalStart": "2021-02-22T00:00:00",
"IntervalEnd": "2021-02-25T00:00:00",
"AmountLowerBound": 0.0,
"AmountUpperBound": 0.0,
"PaymentReason": null,
"FastBranchCode": 0,
"AccountNumber": 64473,
"CustomerNo": 64473
}
]
}
Response
{
"$type": "ServiceResponseMessage",
"Data": {
"$type": "FastGatewayGetFastTransactionsMessage",
"FastTransactionDetails": [
{
"$type": "FastGatewayFastTransactionDetails",
"TransactionId": 233996,
"SagaId": "db5bb93f-ef93-420a-aa20-acd900de1e17",
"QueryCode": 637497809223806011,
"TransactionType": 1,
"MessageType": "A01",
"Direction": 1,
"ParticipantCode": "0046",
"EntryDate": "2021-02-24T16:28:50",
"Amount": 10.0,
"PaymentReason": "07",
"OperationBranchCode": 9300,
"BranchCode": 9142,
"AccountNumber": 64473,
"Suffix": 352,
"SenderName": "GLOREDHEL PRYSTELLA",
"SenderIBAN": "TR690013400093772246300352",
"ReceiverName": "BTCHBIR EGELIF",
"ReceiverIBAN": "TR300004600883888000386809",
"AccountingBranchCode": 9300,
"AccountingReference": "837",
"AccountingTranDate": "2021-02-24T00:00:00",
"TransactionReference": "697778",
"ResultStatus": "1",
"Status": "Successful",
"OperationDate": "2021-02-24T00:00:00",
"RefOperationDate": null,
"RefQueryCode": null,
"RefSenderCode": null,
"ConfirmationStatus": null,
"ConfirmationStatusCode": null,
"ErrorMessage": null,
"Explanation": "test",
"CreateTime": "2021-02-24T16:28:49",
"UpdateTime": "2021-02-24T16:28:50"
}
],
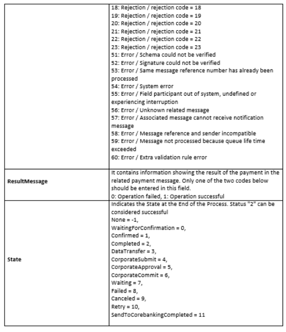
"State": 2
}
}
Fast Refund Process Flow
RetrieveFastDemandTransaction
It is a return request creation service for the submitted FAST transaction.
Request
{
"Header": {
"AppKey": "*******",
"Channel": "API",
"ChannelSessionId": "324234",
"ChannelRequestId": "5252012362481156055"
},
"Parameters": [
{
"Reason": 1,
"Explanation": "test",
"AccountingBranchCode": 9142,
"AccountingTranDate": "2021-01-13T00:00:00",
"AccountingReference": "1",
"CustomerNo": 64473
}
]
}
Response
{
"$type": "ServiceResponseMessage",
"Data": {
"$type": "FastGatewayRetrieveFastDemandTransactionMessage",
"OperationDate": "2021-02-24T00:00:00",
"SenderCode": "0134",
"QueryCode": 637497796838536315,
"IsSuccess": true,
"Status": "Successful",
"ErrorCode": null,
"ResultMessage": "637497756682854541 referanslı işlem için ödeme iadesi isteği 637497796838536315 referans numarası ile başarıyla alınmıştır.",
"State": 2
}
}
RefundFastOrderTransaction
Approving / rejecting incoming fast refund request is the incoming money rejection service.
Request
{
"Header": {
"AppKey": "***",
"Channel": "API",
"ChannelSessionId": "324234",
"ChannelRequestId": "5252012362481156055"
},
"Parameters": [
{
"IsApproved": true,
"SenderIdentityNumber": null,
"Reason": 99,
"Explanation": "testtt",
"AccountingBranchCode": 9142,
"AccountingTranDate": "2021-01-18T00:00:00",
"SenderAddress": null,
"SenderPassportNo": null,
"QueryCode": 637465560142613422,
"SenderBirthPlace": null,
"SenderBirthDate": null,
"AccountingReference": "1023",
"CustomerNo": 64473
}
]
}
Response
{
"$type": "ServiceResponseMessage",
"Data": {
"$type": "FastGatewayRetrieveFastDemandTransactionMessage",
"OperationDate": "2021-02-24T00:00:00",
"SenderCode": "0134",
"QueryCode": 637497796838536315,
"IsSuccess": true,
"Status": "Successful",
"ErrorCode": null,
"ResultMessage": "637497756682854541 referanslı işlem için ödeme iadesi isteği 637497796838536315 referans numarası ile başarıyla alınmıştır.",
"State": 2
}
}